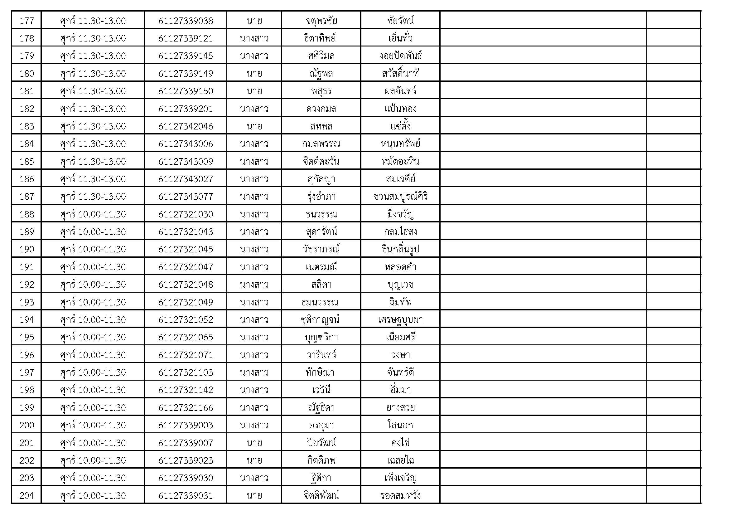
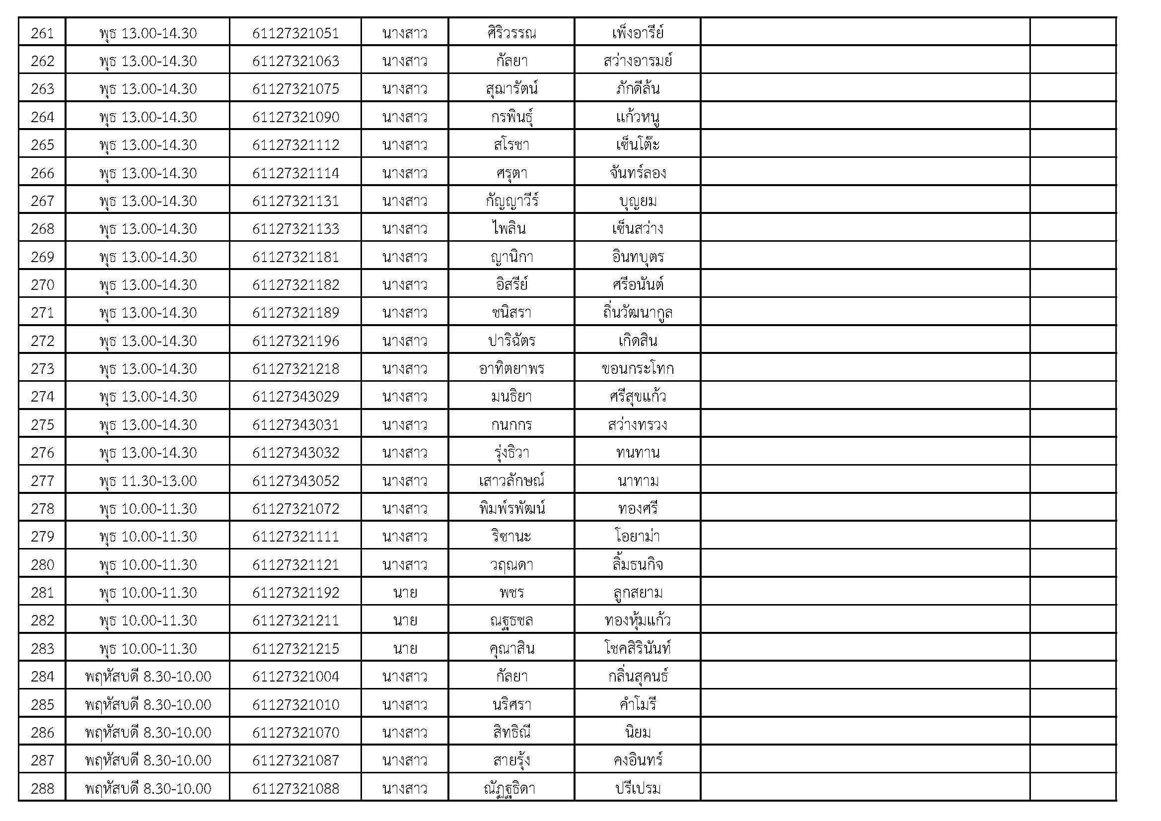
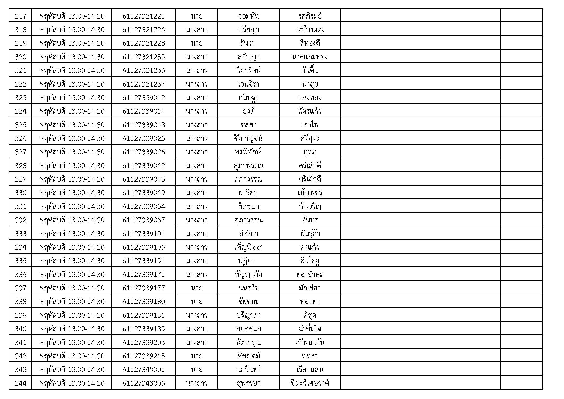
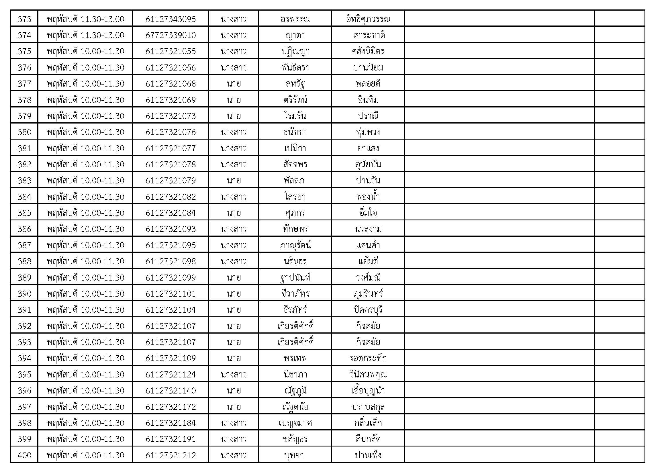
ประกาศรายชื่อ วันเวลาสอบ ICT (รหัส61 สอบฟรี)
ที่สอบ วันอังคารที่ 16 ตค 61
พุธ ที่ 17 ตค 61
พฤหัสบดี ที่ 18 ตค 61
ศุกร์ที่ 19 ตค 61
จันทร์ที่ 22 ตค 61
สถานที่สอบ ห้องคอมฯ ตึก 2 ชั้น 1 วิทยาลัยโลจิสติกส์ฯ จ.นครปฐม
***มาก่อนสอบ ครึ่ง ชม รายชื่อที่มีสี ติดต่อ พี่เปรี้ยว ห้อง สำนักงานวิทยาลัยโลจิสติกส์ฯ ตึก 2 ชั้น 1 (วันที่ 1-5 ตค 61 เท่านั้น)
-คลิกรายชื่อ ICT (นศ.61) สอบฟรี.pdf

















